When you puff on a CBD vape, cannabidiol (CBD) is rapidly absorbed through the lungs, bypassing the digestive system and entering the bloodstream. It’s then slowly metabolized in the liver and excreted through the feces, with a small amount excreted in the urine.
How Long Do Vaping CBD Effects Last?
The effects of vaping CBD typically appear within a few minutes to half an hour, leaving you feeling relaxed and calm. The duration of the effects varies depending on the amount consumed and individual physical condition.
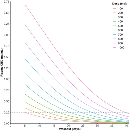
According to relevant studies, single oral doses of 100 mg, 300 mg, and 600 mg of CBD remain in the plasma for an average of approximately 5 days, 13 days, and 25 days, respectively.

What Components Stay in Your Body?
The main components measurable in the body after vaping CBD vapes are cannabidiol (CBD) and its metabolites, particularly 7-hydroxy-CBD (7-OH-CBD) and 7-carboxy-CBD (7-COOH-CBD), which are formed in the liver.
What Factors Affect How Long CBD Vapes Stay in the Body?
Dose
The higher the dose of CBD vaped, the longer it stays in the body. Experiments have shown that a single oral dose of 300 mg of CBD requires an average washout period of approximately 13 days for plasma CBD concentrations to drop to zero, while a 600 mg dose requires 25 days. The following chart shows the relationship between dose and the washout period.

Age
Related research has found that residual CBD levels in the human body increase with age, but are not affected by gender. This is primarily due to the gradual decline in kidney and liver metabolic capacity with aging.
CBDVAPENEW hope this article helps CBD vapers gain a clearer understanding of the relationship between CBD and the human body.


